Xen qabbalah Wiki
Xen qabbalah Wiki

Zero-point energy (ZPE) or ground state energy is the lowest possible energy that a quantum mechanical system may have. Unlike in classical mechanics, quantum systems constantly fluctuate in their lowest energy state due to the Heisenberg uncertainty principle. As well as atoms and molecules, the empty space of the vacuum has these properties. According to quantum field theory, the universe can be thought of not as isolated particles but continuous fluctuating fields: matter fields, whose quanta are fermions (i.e. leptons and quarks), and force fields, whose quanta are bosons (e.g. photons and gluons). All these fields have zero-point energy.

Physics currently lacks a full theoretical model for understanding zero-point energy; in particular, the discrepancy between theorized and observed vacuum energy is a source of major contention. Physicists Richard Feynman and John Wheeler calculated the zero-point radiation of the vacuum to be an order of magnitude greater than nuclear energy, with a single light bulb containing enough energy to boil all the world's oceans. Yet according to Einstein's theory of general relativity any such energy would gravitate and the experimental evidence from both the expansion of the universe, dark energy and the Casimir effect show any such energy to be exceptionally weak. A popular proposal that attempts to address this issue is to say that the fermion field has a negative zero-point energy while the boson field has positive zero-point energy and thus these energies somehow cancel each other out. This idea would be true if supersymmetry were an exact symmetry of nature. However, the LHC at CERN has so far found no evidence to support supersymmetry. Moreover, it is known that if supersymmetry is valid at all, it is at most a broken symmetry, only true at very high energies, and no one has been able to show a theory where zero-point cancellations occur in the low energy universe we observe today. This discrepancy is known as the cosmological constant problem and it is one of the greatest unsolved mysteries in physics. Many physicists believe that "the vacuum holds the key to a full understanding of nature".

The uncertainty principle

Zero-point energy is fundamentally related to the Heisenberg uncertainty principle. Roughly speaking, the uncertainty principle states that complementary variables (such as a particle's position and momentum, or a field's value and derivative at a point in space) cannot simultaneously be specified precisely by any given quantum state. In particular, there cannot exist a state in which the system simply sits motionless at the bottom of its potential well: for, then, its position and momentum would both be completely determined to arbitrarily great precision. Therefore, instead, the lowest-energy state (the ground state) of the system must have a distribution in position and momentum that satisfies the uncertainty principle−−which implies its energy must be greater than the minimum of the potential well.

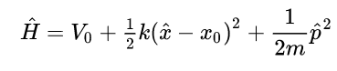
Near the bottom of a potential well, the Hamiltonian of a general system (the quantum-mechanical operator giving its energy) can be approximated as a quantum harmonic oscillator, figure 1

figure 1

figure 1

where V0 is the minimum of the classical potential well.

The uncertainty principle tells us that

figure 2

figure 2

figure 2

making the expectation values of the kinetic and potential terms above satisfy

figure 3

figure 3

figure 3

The expectation value of the energy must therefore be at least

figure 4

figure 4

figure 4

where ω = √k/m is the angular frequency at which the system oscillates.

A more thorough treatment, showing that the energy of the ground state actually saturates this bound and is exactly E0 = V0 + ħω/2, requires solving for the ground state of the system.

Atomic physics

The zero-point energy E = ħω/2causes the ground-state of a harmonic oscillator to advance its phase (color). This has measurable effects when several eigenstates are superimposed.

The zero-point energy E = ħω/2causes the ground-state of a harmonic oscillator to advance its phase (color). This has measurable effects when several eigenstates are superimposed.

The idea of a quantum harmonic oscillator and its associated energy can apply to either an atom or subatomic particle. In ordinary atomic physics, the zero-point energy is the energy associated with the ground state of the system. The professional physics literature tends to measure frequency, as denoted by ν above, using angular frequency, denoted with ω and defined by ω = 2πν. This leads to a convention of writing Planck's constant h with a bar through its top (ħ) to denote the quantity h/2π. In these terms, the most famous such example of zero-point energy is the above E = ħω/2 associated with the ground state of the quantum harmonic oscillator. In quantum mechanical terms, the zero-point energy is the expectation value of the Hamiltonianof the system in the ground state.

If more than one ground state exists, they are said to be degenerate. Many systems have degenerate ground states. Degeneracy occurs whenever there exists a unitary operator which acts non-trivially on a ground state and commutes with the Hamiltonian of the system.

According to the third law of thermodynamics, a system at absolute zero temperature exists in its ground state; thus, its entropyis determined by the degeneracy of the ground state. Many systems, such as a perfect crystal lattice, have a unique ground state and therefore have zero entropy at absolute zero. It is also possible for the highest excited state to have absolute zero temperature for systems that exhibit negative temperature.

The wave function of the ground state of a particle in a one-dimensional well is a half-period sine wave which goes to zero at the two edges of the well. The energy of the particle is given by:

figure 5

figure 5

figure 5

where h is the Planck constant, m is the mass of the particle, n is the energy state (n = 1 corresponds to the ground-state energy), and L is the width of the well.

Quantum field theory

In quantum field theory (QFT), the fabric of "empty" space is visualized as consisting of fields, with the field at every point in space and time being a quantum harmonic oscillator, with neighboring oscillators interacting with each other. According to QFT the universe is made up of matter fields whose quanta are fermions (e.g. electrons and quarks) and force fields, whose quanta are bosons (i.e. photons and gluons). All these fields have zero-point energy. A related term is zero-point field (ZPF), which is the lowest energy state of a particular field. The vacuum can be viewed, not as empty space, but the combination of all zero-point fields.

In QFT this combination of fields is called the vacuum state, its associated zero-point energy is called the vacuum energyand the average expectation value of the Hamiltonian is called the vacuum expectation value (also called condensate or simply VEV). The QED vacuum is a part of the vacuum state which specifically deals with quantum electrodynamics (e.g. electromagnetic interactions between photons, electrons and the vacuum) and the QCD vacuum deals with quantum chromodynamics (e.g. color charge interactions between quarks, gluons and the vacuum). Recent experiments advocate the idea that particles themselves can be thought of as excited states of the underlying quantum vacuum, and that all properties of matter are merely vacuum fluctuations arising from interactions with the zero-point field.

Each point in space makes a contribution of E = ħω/2, resulting in a calculation of infinite zero-point energy in any finite volume; this is one reason renormalization is needed to make sense of quantum field theories. In cosmology, the vacuum energy is one possible explanation for the cosmological constant and the source of dark energy.

Scientists are not in agreement about how much energy is contained in the vacuum. Quantum mechanics requires the energy to be large as Paul Dirac claimed it is, like a sea of energy. Other scientists specializing in General Relativity require the energy to be small enough for curvature of space to agree with observed astronomy. The Heisenberg uncertainty principle allows the energy to be as large as needed to promote quantum actions for a brief moment of time, even if the average energy is small enough to satisfy relativity and flat space. To cope with disagreements, the vacuum energy is described as a virtual energy potential of positive and negative energy.

In quantum perturbation theory, it is sometimes said that the contribution of one-loop and multi-loop Feynman diagrams to elementary particle propagators are the contribution of vacuum fluctuations, or the zero-point energy to the particle masses.

The quantum electrodynamic vacuum

The oldest and best known quantized force field is the electromagnetic field. Maxwell's equations have been superseded by quantum electrodynamics (QED). By considering the zero-point energy that arises from QED it is possible to gain a characteristic understanding of zero-point energy that arises not just through electromagnetic interactions but in all quantum field theories.

Redefining the zero of energy

In the quantum theory of the electromagnetic field, classical wave amplitudes α and α* are replaced by operators a and a that satisfy:

figure 6

figure 6

figure 6

It is often argued that the entire universe is completed bathed in the zero-point electromagnetic field, and as such it can add only some constant amount to expectation values. Physical measurements will therefore reveal only deviations from the vacuum state. Thus the zero-point energy can be dropped from the Hamiltonian by redefining the zero of energy, or by arguing that it is a constant and therefore has no effect on Heisenberg equations of motion. Thus we can choose to declare by fiat that the ground state has zero energy and a field Hamiltonian, for example, can be replaced by:

figure 7

figure 7

figure 7

In other words, within the normal ordering symbol we can commute a and a. Since zero-point energy is intimately connected to the non-commutativity of a and a, the normal ordering procedure eliminates any contribution from the zero-point field. This is especially reasonable in the case of the field Hamiltonian, since the zero-point term merely adds a constant energy which can be eliminated by a simple redefinition for the zero of energy. Moreover, this constant energy in the Hamiltonian obviously commutes with a and a and so cannot have any effect on the quantum dynamics described by the Heisenberg equations of motion.

However, things are not quite that simple. The zero-point energy cannot be eliminated by dropping its energy from the Hamiltonian: When we do this and solve the Heisenberg equation for a field operator, we must include the vacuum field, which is the homogeneous part of the solution for the field operator. In fact we can show that the vacuum field is essential for the preservation of the commutators and the formal consistent of QED. When we calculate the field energy we obtain not only a contribution from particles and forces that may be present but also a contribution from the vacuum field itself i.e. the zero-point field energy. In other words, the zero-point energy reappears even though we may have deleted it from the Hamiltonian.

The electromagnetic field in free space

From Maxwell's equations, the electromagnetic energy of a "free" field i.e. one with no sources, is described by:

figure 8

figure 8

figure 8

in terms of which the vector potential becomes:

figure 9

figure 9

figure 9

for high values of v. It diverges proportional to v4 for large v.

There are two separate questions to consider. First, is the divergence a real one such that the zero-point energy really is infinite? If we consider the volume V is contained by perfectly conducting walls, very high frequencies can only be contained by taking more and more perfect conduction. No actual method of containing the high frequencies is possible. Such modes will not be stationary in our box and thus not countable in the stationary energy content. So from this physical point of view the above sum should only extend to those frequencies which are countable; a cut-off energy is thus eminently reasonable. However, on the scale of a "universe" questions of general relativity must be included. Suppose even the boxes could be reproduced, fit together and closed nicely by curving spacetime. Then exact conditions for running waves may be possible. However the very high frequency quanta will still not be contained. As per John Wheeler's "geons" these will leak out of the system. So again a cut-off is permissible, almost necessary. The question here becomes one of consistency since the very high energy quanta will act as a mass source and start curving the geometry.

This leads to the second question. Divergent or not, finite or infinite, is the zero-point energy of any physical significance? The ignoring of the whole zero-point energy is often encouraged for all practical calculations. The reason for this is that energies are not typically defined by an arbitrary data point, but rather changes in data points, so adding or subtracting a constant (even if infinite) should to be allowed. However this is not the whole story, in reality energy is not so arbitrarily defined: in general relativity the seat of the curvature of spacetime is the energy content and there the absolute amount of energy has real physical meaning. There is no such thing as an arbitrary additive constant with density of field energy. Energy density curves space, and an increase in energy density produces an increase of curvature. Furthermore, the zero-point energy density has other physical consequences e.g. the Casimir effect, contribution to the Lamb shift, or anomalous magnetic moment of the electron, it is clear it is not just a mathematical constant or artifact that can be cancelled out.

Necessity of the vacuum field in QED

The vacuum state of the "free" electromagnetic field (that with no sources) is defined as the ground state in which nkλ = 0 for all modes (kλ). The vacuum state, like all stationary states of the field, is an eigenstate of the Hamiltonian but not the electric and magnetic field operators. In the vacuum state, therefore, the electric and magnetic fields do not have definite values. We can imagine them to be fluctuating about their mean value of zero.

In a process in which a photon is annihilated (absorbed), we can think of the photon as making a transition into the vacuum state. Similarly, when a photon is created (emitted), it is occasionally useful to imagine that the photon has made a transition out of the vacuum state. An atom, for instance, can be considered to be "dressed" by emission and reabsorption of "virtual photons" from the vacuum. The vacuum state energy described by ∑kλ ħωk/2 is infinite. We can make the replacement:

figure 10

figure 10

figure 10

This has the same form as the corresponding classical Hamiltonian and the Heisenberg equations of motion for the oscillator and the field are formally the same as their classical counterparts. For instance the Heisenberg equations for the coordinate x and the canonical momentum p = m = eA/c of the oscillator are:

figure 11

figure 11

figure 11

Alternatively, we can argue that these operators must commute if we are to obtain the correct equations of motion from the Hamiltonian, just as the corresponding Poisson brackets in classical theory must vanish in order to generate the correct Hamilton equations. The formal solution of the field equation is:

figure 12

figure 12

figure 12

since akλ(0)|vac⟩ = 0. however, the energy density associated with the free field is infinite:

figure 13

figure 13

figure 13

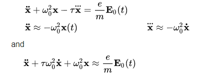
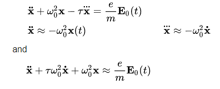
the necessity of the vacuum field can also be appreciated by making the small damping approximation in

figure 14

figure 14

figure 14

Without the free field E0(t) in this equation the operator x(t) would be exponentially dampened, and commutators like [z(t),pz(t)] would approach zero for t ≫ 1/τω2 0. With the vacuum field included, however, the commutator is  at all times, as required by unitarity, and as we have just shown. A similar result is easily worked out for the case of a free particle instead of a dipole oscillator.

What we have here is an example of a "fluctuation-dissipation elation". Generally speaking if a system is coupled to a bath that can take energy from the system in an effectively irreversible way, then the bath must also cause fluctuations. The fluctuations and the dissipation go hand in hand we cannot have one without the other. In the current example the coupling of a dipole oscillator to the electromagnetic field has a dissipative component, in the form of the zero-point (vacuum) field; given the existence of radiation reaction, the vacuum field must also exist in order to preserve the canonical commutation rule and all it entails.

The spectral density of the vacuum field is fixed by the form of the radiation reaction field, or vice versa: because the radiation reaction field varies with the third derivative of x, the spectral energy density of the vacuum field must be proportional to the third power of ω in order for [z(t),pz(t)] to hold. In the case of a dissipative force proportional to , by contrast, the fluctuation force must be proportional to ω in order to maintain the canonical commutation relation This relation between the form of the dissipation and the spectral density of the fluctuation is the essence of the fluctuation-dissipation theorem.

The quantum chromodynamic vacuum

The QCD vacuum is the vacuum state of quantum chromodynamics (QCD). It is an example of a non-perturbative vacuum state, characterized by a non-vanishing condensates such as the gluon condensate and the quark condensate in the complete theory which includes quarks. The presence of these condensates characterizes the confined phase of quark matter. In technical terms, gluons are vector gauge bosons that mediate strong interactions of quarks in quantum chromodynamics (QCD). Gluons themselves carry the color charge of the strong interaction. This is unlike the photon, which mediates the electromagnetic interaction but lacks an electric charge. Gluons therefore participate in the strong interaction in addition to mediating it, making QCD significantly harder to analyze than QED (quantum electrodynamics) as it deals with nonlinear equations to characterize such interactions.

The Higgs field

The potential for the Higgs field, plotted as function of ϕ0 and ϕ3. It has a Mexican-hat or champagne-bottle profile at the ground.

The potential for the Higgs field, plotted as function of ϕ0 and ϕ3. It has a Mexican-hat or champagne-bottle profile at the ground.

The Standard Model hypothesises a field called the Higgs field (symbol: ϕ), which has the unusual property of a non-zero amplitude in its ground state (zero-point) energy after renormalization; i.e., a non-zero vacuum expectation value. It can have this effect because of its unusual "Mexican hat" shaped potential whose lowest "point" is not at its "centre". Below a certain extremely high energy level the existence of this non-zero vacuum expectation spontaneously breaks electroweak gauge symmetry which in turn gives rise to the Higgs mechanism and triggers the acquisition of mass by those particles interacting with the field. The Higgs mechanism occurs whenever a charged field has a vacuum expectation value. This effect occurs because scalar field components of the Higgs field are "absorbed" by the massive bosons as degrees of freedom, and couple to the fermions via Yukawa coupling, thereby producing the expected mass terms. The expectation value of ϕ0 in the ground state (the vacuum expectation value or VEV) is then ⟨ϕ0⟩ = v/√2, where v = |μ|/√λ. The measured value of this parameter is approximately 246 GeV/c2. It has units of mass, and is the only free parameter of the Standard Model that is not a dimensionless number.

The Higgs mechanism is a type of superconductivity which occurs in the vacuum. It occurs when all of space is filled with a sea of particles which are charged and thus the field has a nonzero vacuum expectation value. Interaction with the vacuum energy filling the space prevents certain forces from propagating over long distances (as it does in a superconducting medium; e.g., in the Ginzburg–Landau theory).

Zero Point Field

xen qabbalah

xen energy

the energy in the zero-point field is xen energy

The Physics of Consciousness: The Zero-Point Field

The Potential of the Zero-Point Field

The term “akasha” is a Sanskrit expression that means “sky” or “aether”. This mystical substance is everywhere and within it is recorded every action, emotion, thought, feeling and experience of every living being. It is like a huge database that contains a record of everything. Mystics have long suggested that this information can be accessed in certain states of raised consciousness and the data can be downloaded for future use.

According to philosopher-scientist Ervin Laszlo the Akashic Record is a known scientific phenomenon, but is known by quantum physicists by another term. This term is the Zero Point Field or ZPF.

ZPF is a consequence of something long known to particle physicists, called the Heisenberg Uncertainty Principle. It states that if we know the position of a sub-atomic particle we cannot know its speed, and if we know its speed we cannot know its momentum. If a particle were at rest we would know both. As such particles can never be at rest, not even at absolute zero, the coldest state known to science. This is minus 273.15 degrees Celsius. This is three degrees above the temperature of the vacuum of space. Why this is of significance is that there should be no energy at absolute zero but there is. Lots of it. All space is filled with this quantum vacuum energy. It fills everything and in doing so changes what we think is a vacuum into a space absolutely full to the brim with energy, technically known as a “Plenum”.

This has interesting parallels with ancient Chinese philosophy that suggested that there is no such thing as empty space. For philosophers such as Chang Tsai the bedrock of reality is the ch’i. Ch’i translates as ‘gas’ or ‘ether’ and is a tenuous and non-perceptible form of matter which is present throughout space and can condense into solid material objects.

The idea that matter somehow condenses out of the ch’i is amazingly prescient because there is a process that echoes perfectly this most ancient of ideas. This fascinating new form of matter is called Bose-Einstein Condensation and just like Chang Tsai suggests this is where the ch’i is seen to form a condensation out of the vacuum.

The Akasha-Pineal Connection

If this is correct then the human brain has direct access to the Akashic Field and the virtually limitless information that it contains. It will be recalled that the Akasha can be described as a huge digital database that stores the records of everything that has happened, and will happen, in the universe. In fact, if modern quantum physics is correct, then there are trillions of universes containing billions of copies of every human being that has ever lived and ever will live. Each one of these consciousnesses will download their life experiences into the Akasha via their microtubules and similarly they can upload limitless data from the Akasha using the same process.

Reiki

Reiki energy is said to come from the Source of all creation. This Source is said to be the vital force that sustains the cosmos and infuses us with light and life, providing the energy source from which our bodies, and all forms of matter, arise.

gods aura

Source of Reiki energy originates in what some modern scientists describe as the Zero Point Field a field of low-level energy filling the seemingly empty vastness of deep space. Some scientists are beginning to see the Zero Point Field as a limitless Source of energy and even as the Source of all the matter in the Universe.

According to Newton, matter is the fundamental building block of Nature, and possesses an innate mass, which can, however, be converted to energy. Puthoff, Haisch and Rueda took the opposite viewpoint. They see the entire Universe and all matter within it as a creation of light. Puthoff, Haisch and Rueda see “matter” as composed of subatomic light “particles” accelerating in a relative vacuum. A vacuum filled nonetheless with an ocean of background energy, called the Zero Point Field. Since the Zero Point Field varies in density from place to place, subatomic light particles encounter resistance from the Field as they travel, causing these accelerating particles to coalesce into more concentrated fields and forms, eventually creating “matter”. This “matter”, or coalesced light, encounters increasing resistance from the Zero Point Field as it forms, creating what physicists call “inertia”. In this view of reality, all objects, no matter how large, dense, or heavy, whether animate or inanimate, sentient or non-sentient, are composed of a collection of electrical charges interacting with a background sea of electromagnetic and other energy fields. Einstein’s formula E=Mc2 treated matter and energy as two different types of things, showing that matter could be converted to energy and vice versa. This new scientific hypothesis views matter as a form of energy arising from the Zero Point Field.

the Zero Point Field (ZPF) is the Source of all creation

the Zero Point Field (ZPF) is the Source of all creation. The Zero Point Field (ZPF) fills the cosmos, including what appears to the naked human eye as the vacuum between planets and stars. The ZPF permeates all space, and all animate and inanimate objects therein, connecting them to one another.

The ZPF is composed of visible and invisible light, of different wavelengths.

This Universal field of energy of various wavelengths, in its movement, as it generates gravitational and electromagnetic forces and fields, forms whirlpools of energy vast and small, creating galaxies, solar systems, stars, planets and even the life forms evolving on the planets thus created. According to this new science, we are all beings of light, localized fields of crystallized Universal Life Force Energy, interconnected with all that exists by virtue of being contained within the larger Universal Field.

The Kabbalah, the Jewish mystical tradition that began around 538 B.C., refers to this same primal sea of energy as the astral light, or Ain Soph Aur.

Plato called this field the quintessence, and spoke of five elements, earth, air, fire, water and aether.

Scientists are beginning to explore the possibility that theUniversal Life Force Energy Field exhibits a cosmic consciousness in addition to its other qualities.The Zero Point Field is God’s aura.

ZPF

There is a giant reservoir of energy that every quantum physicist is well aware of, the Zero Point Field. Quantum mechanics has demonstrated that there is no such thing as a vacuum, or nothingness. What we tend to think of as a sheer void (if all of space were emptied of matter and energy and you examined even the space between the stars) is, in subatomic terms, a hive of activity.

Basic Substructure of the Universe:

No particle ever stays completely at rest but is constantly in motion due to a ground state field of energy constantly interacting with all subatomic matter. It means that the basic substructure of the universe is a sea of quantum fields that can­not be eliminated by any known laws of physics. What we believe to be our stable, static universe is in fact a seething maelstrom of subatomic particles fleetingly popping in and out of exis­tence.

Virtual Particles:

We cannot know both the energy and the lifetime of a particle; so a subatomic event occurring within a tiny time frame involves an uncertain amount of energy. All elementary particles interact with each other by exchanging energy through other quantum particles, which are believed to appear out of nowhere, combining and annihilating each other in less than an instant (10-23 seconds), causing random fluctuations of energy with­out any apparent cause. The fleeting particles generated during this brief moment are known as ‘virtual particles.’ They differ from real particles because they only exist during that exchange.

Zero-Point Fluctuation:

Still Detectable in Temperatures of Absolute Zero. When added across the universe, this subatomic exchange gives rise to enormous energy—more than is contained in all the matter in the entire world. The Zero Point Field was called ‘zero’ because fluctuations in the field are still detectable in temperatures of absolute zero, the lowest possible energy state, where all matter has been removed and nothing is supposedly left to make any motion. Zero-point energy was the energy present in the emptiest state of space at the lowest possible energy, out of which no more energy could be removed—the closest that motion of subatomic matter ever gets to zero. But because of the uncertainty principle there will always be some residual jiggling due to virtual particle exchange. It had always been largely discounted because it is ever-present. In physics equations, most physicists would subtract troublesome zero-point energy away – a process called ‘renormalization.’ Because zero-point energy was ever-present, the theory went, it didn’t change anything. Because it didn’t change anything, it didn’t count.

Quantum Sea of Light:

To the quantum physicist, it is an annoyance, to be subtracted away and discounted. To the religious or the mystic, it is science proving the miracu­lous. What quantum calculations show is that we and our universe live and breathe in what amounts to a sea of motion—a quantum sea of light. What quantum physicists have found is that the energy in the Zero Point Field keeps acting on particles so that they never come to rest but always keep moving, even in conditions at a temperature of absolute zero.

the zero-point field gives particles energy

Field: Region of Influence

A field is a matrix or medium which connects two or more points in space, usually via a force, like gravity or electromagnetism. The force is usually represented by ripples in the field, or waves. An electromagnetic field, for example, is simply an electrical field and a magnetic field which intersect, sending out waves of energy at the speed of light. An electric field and a magnetic field form around any electric charge. Both electrical and mag­netic fields have two polarities (negative and positive) and both will cause any other charged object to be attracted or repelled. The field is considered that area of space where this charge and its effects can be detected. The notion of an electromagnetic field is simply a convenient abstrac­tion to try to make sense of the seemingly remarkable actions of electricity and magnetism and their ability to influence objects at a distance – and, technically, into infinity – with no detectable sub­stance or matter in between. Simply put, a field is a region of influence.

Constant Exchange:

In the quantum world, quantum fields are not mediated by forces but by exchange of energy, which is constantly redistributed in a dynamic pat­tern. This constant exchange is an intrinsic property of particles, so that even ‘real’ particles are nothing more than a little knot of energy which briefly emerges and disappears back into the underlying field. According to quantum field theory, the individual entity is transient and insubstan­tial. Particles cannot be separated from the empty space around them.

Field of Fields:

Inex­haustible Energy. Fluctuations in the atomic world amount to a ceaseless passing back and forth of energy. This sort of emission and re-absorption of virtual particles occurs not only among photons and electrons, but with all the quantum parti­cles in the universe.

The zero point field is a repository of all fields and all ground energy states and all virtual particles – a field of fields. 

Every exchange of every virtual particle radiates energy. If you add up all the particles of all varieties in the universe con­stantly popping in and out of being, you come up with a vast, inex­haustible energy source. To give some idea of the magnitude of this energy source, it has been described thusly: the energy in a single cubic meter of space is enough to boil all the oceans of the world.

Expla­nation for many metaphysical notions

Regarding the wave-particle nature of quantum entities, there is also a larger implication of a vast underlying sea of energy. The existence of the Zero Point Field (ZPF) implies that all matter in the universe is interconnected by waves, which are spread out through time and space and can carry on to infinity, tying one part of the universe to every other part. The idea of the ZPF might just offer a scientific expla­nation for many metaphysical notions, such as the Chinese belief in the life force, or chi (qi), described in ancient texts as something akin to an energy field. It even echoes the Old Testament’s account of God’s first dictum: ‘Let there be light,’ out of which matter was created.

unified field

Zero Point God Matrix Field, the source of our genesis. The central point of union within our Universe projects itself through the Threefold Founder Flame Fields of the 13D-14D-15D Rays to create the prism of multidimensional life throughout the Universal time and space fields. The source of the Zero Point field is the infinite energy supply of our God Creator that is contained within All things.

The Zero Point or Neutral field is the heart of the God Matrix, the Energetic Core and Source of all Creation, the Still Point of Wholeness.

Living Light Eternal Current

Those on the Ascension B Timeline feel very much as existing within a void space and have no ability to sense directionally what is next as these systems are collapsing. Even future identities and parallel possibilities are collapsing now as they can no longer be energized. The primary project of where this is underway during this phase is the Astral Plane. As the record of the God Seed atom opens into each sub band and its harmonic layers across all space/time/dimension, it then feeds the Source energy (The Living Light Eternal Current aka Zero Point Fields) into each of these grid layers.In accordance to the Law of Harmonics, whatever structure does not resonate to its original blueprint pattern, either self-corrects as it is overridden or it collapses. The collapse of the structure is due to distortions to such degree the integrity of the Blueprint has been corrupted. Therefore upon the impact of the critical mass of Living Light Current that has been accumulated within a "container" of consciousness, it may possibly destroy the "container" that has become distorted and then corrupt to its original blueprint nature. This level of applied Source Energy is now outpouring from our Universal Time Matrix System at the Galactic Core level (the Center Point of All Union, the God Matrix).

One Unified Conscious Energy Source

As our understanding of this universal energy source continues to expand, we are soon confronted with the idea that it is intelligent, that it can directly interact with our consciousness. The entire Universe is composed of a unified field, or One Unified Conscious Energy Source, then we are also a part of that field; our consciousness can interact with it at many levels.the entire universe is One Being with One Mind, and that both the nonphysical aether and physical matter is all a fundamental part of that interconnected being.